首页
古籍资源
道法符咒
祝由古籍
风水堪舆
预测相法
术法秘术
气功武学
中医古籍
国学典经
其他书籍
视频课程
八卦
算命
占卜
生肖
相术
风水
八字
江湖大汇
佛学
生肖
算命
起名
风水
星座
关于
关于我们
会员隐私
版权说明
侵权处理
免责声明
下载失效
登录
注册账号
|
忘记密码
社交账号登录
首页
>
古籍资源
>
风水堪舆
> 正文
易学风水古籍《邵雍梅花易数》PDF黑白版-96页
风水堪舆
知书
加入收藏
下载需
6
权限值
赞助会员
免费
开通会员
购买权限值
已获得下载权限
开通会员
立即下载
文件编号:--
文件大小:--
广告
广告
下载链接失效:
联系QQ:495377805
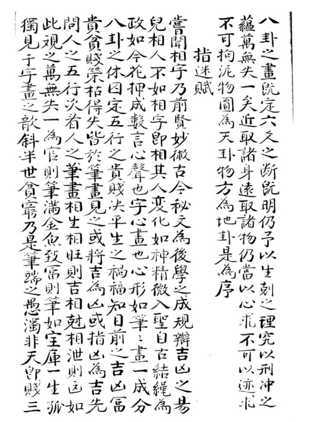
资源介绍--(部分展示:截图清晰度有限,下载后更清晰)
INTRODUCTION TO RESOURCES
上一篇:
珍本《入地眼全書》原文pdf电子版-黑白版161页
下一篇:
《地学精华》风水古籍(第一册)-pdf电子版-45页
返回列表
下载需
6
权限值
赞助会员
免费
开通会员
购买权限值
已获得下载权限
开通会员
立即下载
文件编号:--
文件大小:--
广告
广告
下载链接失效:
联系QQ:495377805
下载说明:
☉下载权限兑换比例为1比1,即1元=1权限值.
☉点击下载地址,会自动扣除权限值,连接地址为百度网盘连接下载。没有剩余权限值可直接购买单个资源下载权限值。
☉版权声明:
本站资源免费提供,只供学习研究,全站只需开通会员即可免费下载,并不提供实质性资料销售,非会员需要购买下载权限即可免费下载,所有资源由用户分享以及互联网转载,您若发现本站资源侵犯了你的版权利益,请联系本站QQ495377805 EMAIL:495377805@qq.com 删除处理!我们立即改正!
侵权处理
☉使用说明:
本网部分玄学、武术、医学等资料非专业人士请勿模仿学习,仅供参考!
注意:
一定要先登录好账户,在点击下载。会保留记录!
[点击登录]
[点击注册]
相关资源
风水类古籍《形峦神断书》(李仁贵珍藏版)风水经典古本
风水堪舆
500
2026-02-09
古代风水古籍奇书《挨星悬解一夜仙》手抄本
风水堪舆
897
2026-02-09
古本-隂陽本源秘文-不分卷pdf-风水古籍22页
风水堪舆
555
2026-02-09
《地理四真全书》-风水古本-黑白扫描版-pdf
风水堪舆
544
2026-02-09
[择日]-风水古本古籍【秘本】黑白扫描版-PDF
风水堪舆
653
2026-02-09
风水古本《参筹秘书》明代-汪三益撰-黑白扫描版
风水堪舆
598
2026-02-09
风水类古籍《玄微二十四山定局》_术数_手抄本_清代民间手抄本PDF
风水堪舆
1013
2026-02-08
六壬古籍《壬遁秘》风水古籍手抄本抄本115页PDF网盘下载
风水堪舆
559
2026-02-08
《参筹秘书》明代汪三益撰黑白扫描版
风水堪舆
645
2026-02-08
古本-理气心印内传-风水类古书籍-52页-PDF
风水堪舆
604
2026-02-08
点击加载更多
距离2026年高考还有:
热门古籍
风水类古籍《形峦神断书》(李仁贵
风水堪舆
家居风水视频课程厨厅卫卧室布置先
风水
九天应元雷声普化天尊玉枢宝经.一
道法符咒
光绪风水古籍书《理气正宗》pdf
风水堪舆
李极泉《新派八字基础理论》视频
八字
经典原版电子书大合集 8000部
其他书籍
标签导航
更多
形峦神断书
挨星悬解一夜
隂陽本源秘文
地理四真全书
择日
玄微二十四山定局
壬遁秘
六壬
参筹秘书
理气心印
夹竹梅花
面相
秘传造葬制煞作法
地理全书
地理辨正得一说
秘本阳宅望门断
六十四卦金钱课
地学正论醒迷
64卦理气抄本
玄空大卦挨星密旨全书
紫微星訣
梅花易数
二十四山水法贵格
十方像名经
老子
梵音斗科
道言內外秘訣全書
吕纯阳祖师传
河上公道德经
道德经
广告